Stilt WErks
 
Part 1| Part 2 | Part 3 | Part 4 | Part 5 | Part 6
 

5 Analysis

5.1 Aluminum Tubes without Bonded Urethane In-Fill
        
        
The relationship between tip deflection, D and tip force P, for a thin-walled aluminum tube with a square cross section, without boned in-fill is

For articles A, B, C, and D without Urethane in-fill, a 1600 pound force would produce displacements of 10.1, 11.4, 10.1, and 11.4 inches, respectively. These deflections are far greater than those obtained in the four Urethane-filled test articles, and the bonded Urethane has significant effects.

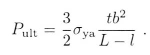
            The ultimate failure load for thin-walled Aluminum tubes with a square cross section, without Urethane in-fill, is

Stilt Duke University
This ultimate failure load is only 241 pounds for all four hollow tubes, much less than the test load of 1600 pounds, and the bonded Urethane has a significant strengthening effect.

5.2 Aluminum Tubes with Bonded Urethane In-Fill

         The relationship between tip deflection, D and tip force P, for a thin-walled aluminum tube with a square cross section, with bonded Urethane in-fill over a length of  +/- d from the center support is somewhat more complicated than equation (1)

First | Next | Prev | Last